Что такое идеальный газ? Это одна из важнейших упрощенных моделей в физике. Есть другие ключевые модели: материальная точка, точечный заряд, идеальный проводник, абсолютно твердое тело, абсолютно черное тело.
Упрощения вводят, чтобы выделить главные закономерности явлений, игнорировать несущественные детали и упростить расчеты. Это позволяет строить рабочие теории и делать прогнозы с достаточной точностью для применения на практике.
Несмотря на упрощения, очень многие реальные газы, находящиеся при обычных (комнатных) температурах и атмосферном давлении (1 атм), ведут себя как идеальные. К ним относятся воздух (отклонение от идеального < 1%), азот, кислород, водород, гелий, неон, аргон и другие. Но водяной пар, аммиак и углекислый газ при тех же условиях нельзя считать идеальными.
Газ: агрегатное состояние
Агрегатным состоянием называется форма существования материи, определяемая характером взаимодействия, расположением и типом движения частиц. В повседневной жизни мы сталкиваемся с тремя основными состояниями:
- твердым;
- жидким;
- газообразным.
Каждое характеризуется определенной плотностью, способностью сохранять объем и уровнем текучести.

Газ — основная форма материи во Вселенной: из газов состоят атмосферы планет, туманности, внешние слои многих звезд (частично ионизированный газ), большая часть межзвездного вещества.
Агрегатных состояний точно три
Плазма — четвертое агрегатное состояние вещества. Она возникает при сильном нагреве газа, когда атомы теряют электроны и образуются ионы. Плазма электропроводна, реагирует на магнитные поля и широко распространена во Вселенной: из нее состоят звезды, включая Солнце, а также солнечный ветер и большая часть межзвездных туманностей.

Модель идеального газа
Идеальный газ — теоретическая модель, упрощенно описывающая поведение реального газа. При этом молекулы рассматриваются как материальные точки: они не взаимодействуют на расстоянии, а обмениваются энергией только при столкновениях между собой или со стенками сосуда. Учитывается только кинетическая энергия молекул, тогда как потенциальной энергией их взаимодействия пренебрегают. Это неприменимо в условиях сильного сжатия, приводящего к конденсации газа в жидкость.
Свойства идеального газа
Молекулы рассматриваются как материальные точки или очень малые, абсолютно упругие шары, чей объем пренебрежимо мал по сравнению с объемом, который занимает газ.
Выполняется условие r≫d, где r — среднее расстояние между молекулами, d — их характерный размер.
Силы межмолекулярного притяжения считаются пренебрежимо малыми.
Молекулы взаимодействуют друг с другом исключительно в момент соударений.
Хаотичное поступательное движение частиц, описываемое уравнениями классической механики Ньютона.
Движение молекул хаотично и подчиняется ньютоновским законам классической механики.
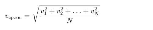
Среднеквадратичная скорость
Это условная скорость, которая характеризует среднее движение молекул в газе. Молекулы двигаются хаотично: есть очень быстрые, есть медленные, большинство двигается со средней скоростью (такое распределение называется распределением Максвелла).
Среднеквадратичная скорость (vср.кв.) позволяет описать поведение всего газа, не отслеживая каждую частицу, она считается условно единой для всех.


Давление идеального газа
Из-за безостановочного хаотического движения молекулы газа ударяются о стенки контейнера, в котором заключен газ. В результате стенкам передается импульс, который и формирует давление как силу, действующую на единицу площади.
Эксперимент
В прозрачный герметичный контейнер с поршнем помести легкие шарики. Встряхивай контейнер — шарики ударяются о стенки и поднимают поршень. Интенсивность встряхивания влияет на высоту подъема поршня. Это моделирует зависимость давления от частоты соударений шариков со стенками.

Зависимость давления от других величин
Давление газа зависит от следующих величин: концентрация молекул (n); температура (T); объем (V); количество вещества (ν).
Эта зависимость описывается уравнением Клапейрона — Менделеева, которое также называют уравнением состояния идеального газа:
PV = ν RT,
где R — универсальная газовая постоянная.
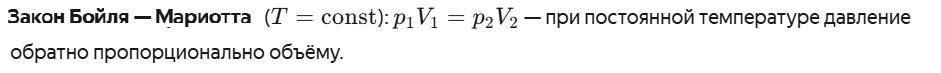
Зависимость давления от объема
Носит название закона Бойля — Мариотта.

Зависимость давления от температуры
Описывается законом Шарля.

Основное уравнение МКТ
Молекулярно-кинетическая теория (МКТ) объясняет свойства газа движением его молекул. Согласно МКТ, молекулы газа хаотично движутся и сталкиваются друг с другом и со стенками сосуда — так создаётся давление. Чем выше температура, тем быстрее движение молекул.
Основное уравнение МКТ:

Хранение и транспортировка газов
Газы хранят и транспортируют в прочных баллонах под высоким давлением. Для сжатия используют компрессоры. Баллоны маркируют по типу газа, перевозят спецтранспортом. Важно соблюдать правила безопасности: избегать нагрева, ударов, утечек.

