Умение вычислять проценты — практический навык, востребованный в повседневной жизни и профессиональной деятельности. В быту он помогает:
- рассчитывать скидки в магазинах, чтобы понять, насколько выгодна акция;
- оценивать переплату по кредитам и ипотеке, чтобы сравнить предложения банков;
- планировать собственный бюджет;
- подсчитывать размер скидки на услугу.
В работе навык незаменим для следующих специалистов:
- экономисты и бухгалтеры — при анализе рентабельности, расчете налогов, маржи, определении динамики инфляции;
- маркетологи — для оценки роста продаж, конверсии, эффективности рекламы;
- социологи — для оценки результатов опросов;
- предприниматели — при формировании цен и расчете наценки.
Необходимость вычислять проценты часто встречаются в математике, физике, химии, статистике.
Кроме того, навык развивает логическое мышление, числовую грамотность, улучшает результаты ЕГЭ. В итоге способность быстро и точно считать проценты экономит время, деньги и снижает риск ошибок при принятии важных решений.
Онлайн-калькулятор процентов
Большинство виртуальных калькуляторов для вычисления процентов используют стандартную схему:
- чтобы найти процент от числа, выполните следующую последовательность действий: введите число ? знак умножения «?» ? количество процентов ? «%» ? «=»;
- для вычитания процентов из числа: число ? «?» ? количество процентов ? «%» ? «=».
Таким образом, работа с процентами в виртуальных калькуляторах проста и интуитивно понятна.
Основные определения

Процент (от лат. per centum — «на сотню») — это одна сотая часть величины, обозначаемая знаком «%». Используется, чтобы выразить долю чего-либо относительно целого.
Например, 25% означает 25 сотых частей некоторой величины, или 0,25 в виде десятичной дроби.
Ключевые соотношения:
- 0% = 0;
- 50% = ?;
- 100% соответствует целому значению «1»;
- величины свыше 100% означают превышение исходного значения (например, 150% = 1,5 от исходной величины).
Проценты удобны тем, что позволяют просто и наглядно выражать доли от целого, сравнивать величины и отслеживать изменения. Они универсальны, применяются в финансах, статистике, торговле и быту, а их расчет легко автоматизировать.
Промилле (‰) — это одна тысячная часть чего-либо (от лат. per mille). Оно тесно связано с процентом: 1‰ = 0,1% = 0,001. Промилле используют, когда нужна большая точность — например, для измерения солености воды, уровня алкоголя в крови или уклона железнодорожного пути. Символ ‰ визуально похож на %, но содержит три «кружочка» — по числу нулей в знаменателе дроби.
Проценты: правила

Находить проценты можно несколькими способами. Все они очень просты.
Нахождение одного процента от числа
Чтобы найти процент (1%) от числа, нужно это число разделить на 100.
Пример: 1% от 123 будет равен 123 / 100 = 1,23.
Чтобы найти p процентов ( p%) от числа A, нужно:
Перевести проценты в десятичную дробь: p% = p / 100.
Умножить число на эту дробь: A • p / 100.
Пример: 22% от 150 будет 150•22 / 100 = 33.
Нахождение числа по его проценту — операция, обратная вычислению процента. Если известно, что p% числа равны B, то чтобы найти само число A, пользуются формулой:
A = B • 100 / p
Пример: если 25% числа равны 50, то число: 50 • 100 / 25 = 200
Составление пропорции
Напомним, что пропорция — это равенство двух отношений, например: a : b = c : d. Она показывает, как величины соотносятся друг с другом.
Основное свойство пропорции — произведения крайних членов равны друг другу:
a • d = b • c.
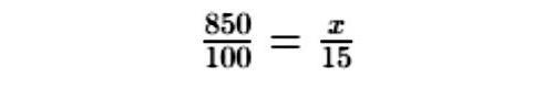
Чтобы найти проценты через пропорцию, составляют равенство вида:

Здесь целое — 100%, часть — искомый процент (x). Решают пропорцию методом «крест-накрест»: умножают часть на 100%, делят на целое и находят неизвестное. В зависимости от условия неизвестной величиной может оказываться «целое», «часть», «процент».
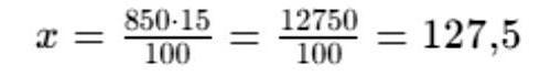
Пример. Книга стоит 850 рублей. В честь Дня книголюбов на нее действует скидка 15 %. Какую сумму удастся сэкономить при покупке?
По условию:
- 850 руб. — это 100%;
- x руб. — это 15%.
Составляем пропорцию:

Отсюда:

Ответ: экономия составит 127,5 руб.
Соотношения чисел
Процент легко превращается в натуральную дробь. Для этого число процентов записывают в числитель, а 100 — в знаменатель. Затем выполняют сокращение.
На практике бывает удобно использовать следующие соотношения:
| Процент p | Дробь | p% от числа А |
| 10% | 1/10 (одна десятая) | А : 10 |
| 20% | ? (одна пятая) | А : 5 |
| 25% | ? (одна четвертая) | А : 4 |
| 50% | ? (одна вторая) | А : 2 |
| 75% | ? (три четверти) | А • 3 : 4 |
Задача для тренировки
Цена смартфона — 28 900 руб. При оформлении заказа через мобильное приложение дается скидка 7%, а при использовании промокода — еще 3% от итоговой суммы. Кроме того, магазин возвращает 5% стоимости покупки бонусами на следующий заказ. Требуется посчитать общую выгоду в рублях, включая бонусы (1 бонус = 1 руб.).
Решение
Рассчитываем первую скидку (7% от 28 900):
28900•0,07 = 2023 руб.
Цена после первой скидки:
28900 ? 2023 = 26877 руб.
Вторая скидка (3% от 26 877):
26877•0,03 = 806,31 руб.
Цена после второй скидки:
26877 ? 806,31 = 26070,69 руб.
Рассчитываем возврат бонусами (5% от 26 070,69):
26070,69•0,05 =1303,53 руб.
Общая выгода:
Скидки: 2023 + 806,31 = 2829,31 руб.
Бонусы: 1303,53 руб.;
Итоговая выгода: 2829,31 + 1303,53 = 4132,84 руб.
Ответ: общая выгода, включая бонусы, составляет 4132,84 руб.

