Закон Джоуля — Ленца представляет собой одно из фундаментальных положений электродинамики, объясняющих процесс выделения тепловой энергии в проводниках при протекании электрического тока. Его открытие стало важным этапом в развитии физики и техники середины XIX века.
Независимо друг от друга английский физик Джеймс Прескотт Джоуль и российский учёный Эмилий Христианович Ленц установили закономерности преобразования электрической энергии в тепловую. Полученные ими результаты углубили понимание природы электрических явлений и создали научную основу для проектирования множества технических устройств.

В своих экспериментах по исследованию теплового действия электрического тока Джеймс Джоуль помещал проводник в калориметр с водой и фиксировал изменение температуры жидкости. В ходе опытов он последовательно изменял силу тока I, использовал проволоки из разных материалов, разной длины и толщины (для изменения сопротивления R), контролировал время t протекания тока. Тщательно замеряя количество выделяемой теплоты Q, учёный установил, что оно прямо пропорционально квадрату силы тока, сопротивлению проводника и времени прохождения тока.
Опыты Эмилия Ленца проводились по сходной методике, но обеспечивали повышенную точность измерений. Кроме того, выполнялась всесторонняя проверка результатов. Для экспериментов использовались проводники из платины, железа, меди и нейзильбера (сплав меди с никелем и железом). Вместо воды использовался 85–86%-ный раствор этилового спирта. Выбор жидкости был обусловлен тем, что удельное электрическое сопротивление спирта значительно выше, чем у воды, которую использовал в своих опытах Джеймс Джоуль. Это повышало точность измерений, так как минимизировало влияние проводимости среды на результаты экспериментов.
Учёный последовательно включал проволоки с различным сопротивлением и убеждался, что при одинаковых значениях I сильнее нагревается тот, у которого выше R. Результаты опытов Ленца подтвердили, что интенсивность тепловыделения возрастает пропорционально квадрату силы тока.
Закон Джоуля — Ленца находит широкое практическое применение в самых разных областях науки и техники: от бытовой электротехники до промышленного оборудования. В статье мы подробно рассмотрим суть закона и примеры решения типовых задач.
Суть закона Джоуля — Ленца и его проявления
Сегодня, когда электроприборы окружают нас повсюду, даже ученики младших классов знают: прохождение электрического тока всегда сопровождается выделением тепла. Каждый день мы видим это в действии: чайник закипает, утюг нагревается, лампа светится. Нагрев компьютера, ноутбука, смартфона при работе — тоже наглядный пример теплового действия тока (но в этих случаях свой вклад также вносят динамические потери при переключении транзисторов).
Процесс выделения тепла при прохождении электрического тока носит название джоулева (резистивного или омического) нагрева.
Закон Джоуля — Ленца позволяет оценить и контролировать тепловой эффект — в нём отражена зависимость количества выделяемого в проводнике тепла от конкретных параметров.
Краткая формулировка этого закона выглядит следующим образом: количество теплоты Q, выделяемой в проводнике или полупроводнике, прямо пропорционально сопротивлению R, времени прохождения тока t и квадрату силы тока I: Q = I2Rt. Это значит, что количество выделяемого тепла растёт с увеличением:
- сопротивления проводника R;
- времени протекания тока t;
- квадрата силы тока I.
Сопротивление, в свою очередь, зависит от материала, длины, площади сечения и длины провода. Отсюда следуют два вывода:
- чем больше площадь сечения, тем меньше тепла выделяется;
- чем короче длина, тем слабее тепловой эффект.
Проиллюстрировать эти закономерности на практике можно с помощью опыта с двумя лампами, имеющими разное значение R. При последовательном подключении к источнику питания ярче светится лампа с большим R, а при параллельном подключении — наоборот.
Природа тепла в проводниках
Электрический ток — это направленное движение заряженных частиц под действием электрического поля. В электролитах носителями заряда служат ионы, в металлах — свободные электроны, в полупроводниках к ним добавляются ещё и «дырки», а в в плазме — ионы.
Упрощённо рассмотрим выделение тепла в металлическом проводнике. При отсутствии электрического напряжения свободные заряженные частицы движутся хаотично, но при подключении источника напряжения приобретают общую направленность перемещения — возникает ток, и проводник начинает нагреваться. Причина кроется во взаимодействии движущихся зарядов с кристаллической решёткой материала.
Атомы в твёрдом теле образуют упорядоченную структуру — кристаллическую решётку. Ионы в её узлах не статичны: они непрерывно колеблются вокруг положений равновесия из-за теплового движения. Когда свободные электроны начинают направленно перемещаться под действием поля, они неизбежно сталкиваются с этими ионами.
При каждом соударении иону передаётся часть кинетической энергии движущейся частицы. В результате амплитуда колебаний иона увеличивается, что соответствует росту температуры вещества. Чем больше сила тока, тем чаще происходят столкновения и тем сильнее нагрев.
Дополнительно на интенсивность выделения тепла влияют свойства самого материала — примеси, дефекты кристаллической решётки и тип связей между атомами создают дополнительные препятствия для движения заряженных частиц, увеличивая число столкновений и, как следствие, тепловыделение.
Уравнение Джоуля — Ленца
Рассмотрим математическую запись закона Джоуля — Ленца.
Представим участок электрической цепи, в котором протекает ток и происходит нагревание проводника. При условии отсутствия на этом участке процессов, требующих для своего протекания потребления энергии, количество выделенной теплоты Q будет эквивалентно работе тока A:
Q = A.
Работа тока рассчитывается по формуле:
A = IUt,
где:
- I — сила тока (А),
- U — напряжение (В),
- t — время (с).
Соответственно, количество выделенной теплоты можно записать как:
Q = IUt.
С учётом закона Ома U выражается через I и сопротивление R:
U = IR.
Подставляя это выражение в предыдущую формулу, получаем:
Q = I⋅(IR)⋅t = I2Rt.
Таким образом, мы вывели форму записи закона Джоуля — Ленца (она называется интегральной) — формулу, позволяющую рассчитать количество теплоты, выделяемой в проводнике, через его сопротивление, I и время прохождения тока.

Закон в интегральной форме справедлив при следующих условиях:
- сила тока постоянна в течение всего времени t;
- отсутствуют тепловые потери в цепи, и вся энергия электрического тока преобразуется в тепловую энергию (нет совершения механической работы, химических реакций и т. д.);
- проводник не меняет своих свойств (сопротивление R постоянно).
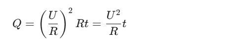
Если неизвестна сила тока, но известно U, можно выразить I через закон Ома (I=R/U) и подставить в формулу:

Таким образом, закон можно записать в двух эквивалентных интегральных формах:
- через силу тока в цепи: Q = I2Rt;
- через напряжение: Q = (U2 /R) ⋅ t.
Пример расчёта: пусть через резистор с R=10 Ом в течение t=60 с протекает ток I=2 А. Тогда количество выделившейся теплоты:
Q= I2Rt = 22 ⋅ 10 ⋅ 6 = 2400 Дж.
Практическое применение

Закон Джоуля — Ленца — не просто абстрактная теоретическая формула из учебника физики. Это фундаментальный принцип, лежащий в основе работы множества бытовых и промышленных устройств. Его практическое применение охватывает широкий спектр задач:
- он служит основой при проектировании безопасных электросетей с учётом допустимых нагрузок;
- помогает разрабатывать эффективные нагревательные приборы и источники света с оптимальным соотношением тепловыделения и светоотдачи;
- позволяет прогнозировать и предотвращать аварийные ситуации, такие как перегрузки или короткие замыкания, способные вызывать возгорания.
Понимание этого закона критически важно для эффективного и безопасного использования электрооборудования, так как помогает избежать опасных ситуаций в быту и на производстве.
Примеры задач
№1
Какое количество теплоты выделится в спирали электроплитки за t=2 минуты, если в цепи U=220 В, а сила тока в ней I=3 А? Ответ дайте в килоджоулях.
Решение:
Дано:
- t = 2 мин,
- U = 220 В,
- I = 3 А,
- Q = ?
Переводим время в секунды:
t = 2⋅60 =120 с
Применяем формулу закона Джоуля — Ленца:
Q = IUt =3 А⋅220 В⋅120 с = 79200 Дж = 79,2 кДж
Ответ: Q = 79,2 кДж.
№2
Сколько времени t должен работать электрообогреватель сопротивлением R=44 Ом, подключённый к сети U=220 В, чтобы выделить Q=4,84 МДж теплоты? Ответ дайте в часах.
Решение:
Дано:
- R = 44 Ом,
- U = 220 В,
- Q = 4,84 МДж = 4,84 ⋅ 106 Дж,
- t = ?
Сначала найдём I по закону Ома:
I = U / R = 220 / 44 = 5 А
Используем закон, чтобы найти время:

Подставляем значения:

Переводим секунды в часы:
t = 4400 / 3600 ≈1,22 ч
Ответ: t ≈ 1,22 ч.
№3
Два резистора с сопротивлениями R1= 10 Ом и R2 = 20 Ом соединены последовательно и подключены к источнику с U=60 В. Какое количество теплоты Q выделится на обоих резисторах за t=2 минуты?
Решение:
Дано:
- R1 = 10 Ом,
- R2 = 20 Ом,
- U=60 В,
- t = 2 мин = 120 с,
- Q = ?
Находим общее сопротивление:
Rобщ = R1+ R2 = 10 + 20 = 30 Ом
Находим силу тока в цепи:
I = U / Rобщ = 60 / 30 = 2 А
Используем закон Джоуля — Ленца для всей цепи:

Ответ: Q=14,4 кДж.
№4
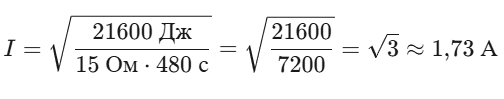
Проволока с R = 15 Ом подключена к источнику тока. За t = 8 мин в ней выделилось Q = 21,6 кДж теплоты. Найдите заряд q, прошедший через проволоку за это время.
Решение:
Дано:
- R = 15 Ом,
- T = 8 мин = 480 с,
- Q = 21,6 кДж = 21600 Дж,
- q = ?
По закону Джоуля — Ленца:

Вычисляем силу тока:

Следовательно, прошедший через проволоку заряд будет равен:
q = It = 1,73 А ⋅ 480 с ≈ 830,4 Кл
Ответ: q ≈ 830,4 Кл.

