Законы Кеплера — три правила, описывающие движение планет вокруг звезды. Они стали важным этапом перехода от геоцентрической модели мира к гелиоцентрической и привели к современному пониманию устройства Солнечной системы. Иоганн Кеплер вывел свои законы в начале XVII века, основываясь на данных, полученных Тихо Браге в результате своих наблюдений.
Первый закон говорит об эллиптических орбитах, второй — о неравномерной скорости планет, третий устанавливает связь между периодом обращения и расстоянием до Солнца. Эти закономерности не просто описывают движение космических объектов — они легли в основу закона всемирного тяготения Ньютона.
Сегодня законы Кеплера изучают в школе на уроках физики и астрономии. В ЕГЭ по физике часто встречаются задачи на движение космических тел, требующие применения законов Кеплера. Например, задание может предлагать установить соответствие между зависимостями движения спутника по орбите и соответствующими уравнениями из предложенного списка.
Форма Земли

Эпоха Иоганна Кеплера (1571–1630) стала переломной в истории науки. Хотя к этому времени идея плоской Земли уже ушла в прошлое, господствовавшая картина мира все еще была далека от современной.
Представление о плоской Земле было опровергнуто задолго до Кеплера — еще в античности. Древнегреческие ученые накопили убедительные доказательства шарообразности ее формы. Аристотель (IV век до н. э.) приводил несколько аргументов:
- круглая тень Земли на Луне во время затмений;
- постепенное исчезновение кораблей за горизонтом;
- изменение видимости звезд при перемещении на север или юг.
Несмотря на многовековые научные достижения — от расчетов Эратосфена до космических снимков — идея плоской Земли (Flat Earth theory) находит сторонников и сегодня. Основные «доказательства»:
- «Горизонт выглядит плоским». На небольших расстояниях кривизна Земли незаметна из-за ее огромных размеров (радиус — около 6371 км). Визуально линия горизонта кажется прямой.
- «Вода всегда стремится к уровню». Утверждается, что если бы Земля была шаром, океаны «стекали» бы с ее поверхности. Сторонники теории игнорируют действие гравитации.
- «Самолеты не корректируют высоту». Утверждение, что пилотам якобы пришлось бы постоянно «опускать нос» самолета, чтобы не улететь в космос, если бы Земля была круглой. Но на самом деле пилоты и автопилоты поддерживают постоянную высоту относительно уровня моря. Система навигации автоматически корректирует маршрут с учетом формы поверхности.
- «Отсутствие ощутимого вращения». Люди не чувствуют вращения Земли (линейная скорость на экваторе — около 1670 км/ч), что, по мнению сторонников теории, доказывает ее неподвижность и плоскость.
Наука многократно подтверждала шарообразность Земли — от античных наблюдений до современных технологий. Однако психологические и социальные факторы делают миф о плоской Земле устойчивым, несмотря на очевидность фактов.
Смена дня и ночи

Смена дня и ночи — наглядное доказательство шарообразности Земли. Наша планета вращается вокруг своей оси с периодом около 24 часов: на обращенной к звезде стороне — день, на другой стороне (куда не поступает солнечный свет) — ночь. С помощью плоской модели такое невозможно объяснить логично.
Если бы Земля была диском, Солнце либо:
- светило бы постоянно над всей поверхностью (не было бы ночи);
- двигалось бы по кругу над диском — тогда ночь наступала бы одновременно везде, а не поочередно в разных регионах.
Факт, что в один момент в Токио может быть полдень, а в Нью-Йорке — полночь, подтверждает сферическую форму Земли и ее вращение вокруг своей оси. Периодическая смена дня и ночи полностью согласуется с шарообразной моделью и противоречит гипотезе о плоской форме.
Лунные затмения
Шарообразность наглядно подтверждается явлением лунного затмения. Оно происходит, когда Земля оказывается между Солнцем и Луной и отбрасывает тень на свой естественный спутник. При этом тень Земли на Луне всегда круглая.
Это можно объяснить только сферической формой, так как при любом положении и угле падения света шар всегда отбрасывает либо круглую, либо эллиптическую тень. Но при затмениях наблюдается исключительно круглая тень.
Теория плоской Земли не способна логично объяснить этот феномен. Если бы Земля была диском, ее тень на Луне:
- в большинстве случаев имела бы форму овала;
- иногда (при определенном ракурсе) принимала бы вид линии или прямоугольника — но таких наблюдений нет.
Регулярно наблюдаемая круглая тень во время лунных затмений прямо указывает на сферическую форму Земли и опровергает гипотезу плоской Земли.
Тени
Наблюдения за тенями и освещенностью высоких объектов — еще одно доказательство шарообразности Земли.
Во-первых, длина и направление теней от одинаковых объектов в разных регионах в одно и то же время различаются. На плоской поверхности при параллельных солнечных лучах тени были бы идентичны. Реальные же измерения (еще со времен Эратосфена) показывают расхождения — они объясняются кривизной земной поверхности.

Во-вторых, освещенность вершин гор или небоскребов после заката. Когда Солнце скрывается за горизонтом для наблюдателя на уровне земли, высокие объекты еще некоторое время остаются подсвеченными. Это возможно только на сферической поверхности: вершина находится выше уровня «заходящего» горизонта.
На плоском диске такой эффект невозможен — звезда либо освещала бы все равномерно, либо сразу исчезала из виду для всех точек одновременно.
Но Земля все же не идеальный шар. Из-за вращения она слегка сплюснута у полюсов и расширена у экватора. Полярный радиус составляет около 6357 км, экваториальный — примерно 6378 км. Высокие горы, глубокие впадины тоже нарушают идеальную форму. Это делает Землю геоидом, а не шаром.
Эллипс
Чтобы лучше понять законы Кеплера, сначала освежим знания об эллипсе. Это замкнутая кривая линия на плоскости, похожая на вытянутую окружность. Ее можно получить, если пересечь прямой круговой конус плоскостью под определенным углом или растянуть окружность вдоль одной из осей.

Внутри у этой фигуры есть две особые точки — фокусы (обозначаются F1 и F2). Для любой точки на кривой сумма расстояний до фокусов остается постоянной.
Оси — это два взаимно перпендикулярных отрезка, проходящих через центр. Большая ось — самый длинный отрезок внутри эллипса, соединяющий две его точки через центр. Ее длина равна 2a, где a — большая полуось. Малая ось — самый короткий отрезок такого типа, перпендикулярный большой оси. Ее длина — 2b, где b — малая полуось.

Точки пересечения осей с кривой называются вершинами. На большой оси лежат две вершины — самые удаленные друг от друга точки, на малой — две другие, ближайшие друг к другу.
Первый закон Кеплера

В начале XVII века немецкий астроном Иоганн Кеплер совершил важный прорыв в понимании устройства Солнечной системы. Опираясь на высокоточные астрономические наблюдения своего предшественника Тихо Браге, он сформулировал первый из трех законов движения планет, получивший название закона эллипсов.
Он четко определяет форму орбит: все планеты Солнечной системы обращаются вокруг Солнца по эллиптическим траекториям, причем само Солнце занимает позицию в одном из фокусов каждого эллипса. Такое описание кардинально отличалось от существовавших ранее представлений.
Противоположные точки орбит (апсиды) объектов, движущихся вокруг Солнца, имеют специальные названия:
- перигелий — ближайшая к Солнцу точка орбиты;
- афелий — наиболее удаленная точка.
До работ Кеплера в науке доминировала идея о том, что планеты должны двигаться по круговым орбитам: такая траектория считалась «идеальной» и гармоничной, в том числе в рамках геоцентрической модели Птолемея и философских воззрений античных мыслителей. Круговое движение полагалось совершенным, а любые отклонения объяснялись сложными комбинациями дополнительных кругов (эпициклов).
Установление эллиптической формы орбит стало настоящим научным прорывом. Новая модель:
- позволила существенно повысить точность расчетов положения объектов на небесной сфере;
- дала возможность более точно прогнозировать астрономические события;
- упростила теоретическое описание движения космических тел.
Результаты Кеплера не только изменили представления об устройстве космоса, но и послужили важной отправной точкой для дальнейших открытий. В частности, они стали одной из основных предпосылок для формулировки закона всемирного тяготения Исааком Ньютоном и легли в основу современной небесной механики.
Второй закон Кеплера (закон площадей)
Формулируется следующим образом: за равные промежутки времени радиус-вектор, соединяющий Солнце и планету, заметает равные площади.
Пояснения:
- Радиус-вектор (R) — линия от Солнца до объекта на орбите.
- «Заметает равные площади» — если взять два одинаковых отрезка времени (например, 10 дней), то фигура, образованная Солнцем и двумя положениями тела за этот период, будет иметь одинаковую площадь в любой части орбиты.
Из этого следует, что объект движется быстрее, когда находится ближе к Солнцу (в перигелии), и медленнее — когда дальше (в афелии). Так сохраняется баланс: R вблизи звезды короткий, но скорость высокая; R вдали — длинный, а скорость низкая. Закон подтверждает неравномерность орбитального движения космических объектов.
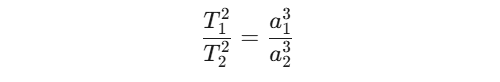
Третий закон Кеплера
Устанавливает связь между периодом обращения вокруг Солнца и размером орбиты.
Формулировка: квадраты периодов (T21 и T22) относятся как кубы больших полуосей их орбит (a1 и а2). Математически это записывается так:

Это значит: чем дальше планета от своей звезды, тем дольше ее год. Например, у Марса (a ≈ 1,5 а. е.) период:

Закон позволяет рассчитать расстояние до планеты, зная длительность ее года, и наоборот.
Закон всемирного тяготения

Третий закон Кеплера сыграл решающую роль в создании теории гравитации. Опираясь на него, Исаак Ньютон в 1687 году в работе «Математические начала натуральной философии» вывел свой закон всемирного тяготения.

Таким образом, закономерности, описанные Кеплером, получили физическое объяснение через концепцию гравитационного взаимодействия
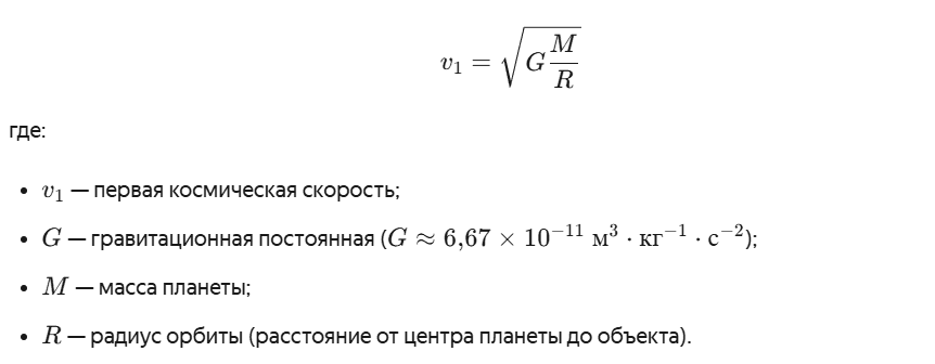
Первая и вторая космические скорости
Законы Кеплера описывают движение небесных тел по орбитам, но они же объясняют, какие скорости нужны для разных космических путешествий.
Если нужно запустить спутник, то его необходимо разогнать до первой космической скорости:

Чтобы вырваться из орбитальных «объятий» и уйти дальше в космос, нужно разгоняться до второй космической скорости.

Таким образом, законы Кеплера задают геометрию орбит, а космические скорости определяют условия для разных типов движения в гравитационном поле.
Заключение
Законы Кеплера стали важным рубежом в развитии научного познания. Можно сказать, что они сыграли роль настоящего катализатора для научного прогресса. Сформулированные в начале XVII века, они впервые точно охарактеризовали движение планет. Первый закон описывает эллиптическую форму планетных орбит, второй — неравномерность орбитальной скорости (закон площадей), третий — количественную связь между периодом и размером орбиты. Эти положения опровергли прежние геоцентрические модели и заложили основу для дальнейших открытий.
Сегодня законы Кеплера сохраняют актуальность: их применяют при расчете траекторий космических аппаратов, изучении экзопланет и моделировании динамики небесных систем. Так идеи Кеплера продолжают влиять на современную науку.

