Колебание — это изменение какого-либо параметра относительно некоторого среднего значения. Главная отличительная черта этого процесса — регулярность повторений, периодичность. Это значит, что через равные (или приблизительно равные) промежутки времени колеблющаяся величина возвращается к своему изначальному состоянию.
Колебательные процессы встречаются в окружающем мире повсеместно. Кроме того, без них невозможна жизнь. К колебательным процессам относятся биоритмы организма, сердечный ритм, дыхание, перистальтика кишечника, мозговые волны (альфа-, бета- и другие). Человек воспринимает окружающий мир благодаря электромагнитным колебаниям (зрение) и акустическим колебаниям воздуха (звук).
Механические колебания
Механические колебания — это повторяющиеся движения тела или системы тел относительно положения равновесия. К этому виду относятся:
- колебания струн музыкальных инструментов;
- звук;
- вибрация;
- движение качелей и маятников;
- раскачивание мостов и балок;
- возвратно-поступательное движение поршней двигателей внутреннего сгорания;
- работа автомобильных амортизаторов, рессор железнодорожных вагонов, мембран микрофонов.
Перечислить все примеры просто невозможно.
Свободные колебания

К свободным относятся колебания, которые совершаются после однократного внешнего воздействия, сообщающего телу (или системе тел) некоторую энергию. Это воздействие выводит тело (систему) из состояния равновесия, а затем колебательный процесс продолжается самостоятельно.
Можно сказать, что свободные колебания происходят «сами собой», без дополнительных порций энергии, заставляющих систему колебаться. Поэтому свободные колебания также называются собственными колебаниями.
Классическим примером свободных колебаний являются движения маятника, которого отклонили от положения равновесия и отпустили.
Любое свободное колебание постепенно затухает, так как первоначальная энергия расходуется на преодоление сил сопротивления.
Вынужденные колебания
Колебания, которые совершаются благодаря внешней периодически действующей силы, называются вынужденными. Эта сила вынуждает систему колебаться с той частотой, с которой она осуществляет воздействие.
Например, если вы толкнете качели один раз, то они будут совершать свободные колебания с собственной частотой. Но если вы будете толкать качели многократно, то можете заставить их качаться с той частотой и размахом, которые вам нужны.
Вынужденные колебания постоянно получают новые порции энергии от вынуждающей силы. Поэтому они являются незатухающими.
Автоколебания

Эти колебания, подобно вынужденным, являются незатухающими колебаниями. Но они совершаются под воздействием некоторой постоянной, а не периодически действующей силы. Поэтому частота автоколебаний определяется внутренними особенностями колебательной системы.
Автоколебания очень распространены в реальном мире. К ним относится следующее:
- движение маятника старинных часов под воздействием опускающейся гири;
- колебания струны скрипки (виолончели, альта, контрабаса), вызываемые движением смычка;
- колебания воздуха в трубе органа (музыкальный инструмент) под воздействием нагнетательного механизма;
- звуки голоса людей и животных, возникающие благодаря продуванию струи воздуха через голосовые связки;
- звучание духовых инструментов, когда музыканты продувают через них воздух.
Таким образом, для совершения автоколебаний необходима внешняя сила, действующая более или менее постоянно. Именно благодаря ей колебание становится возможным.
Характеристики колебаний
При колебательном процессе происходит периодическое повторение одних и тех же событий или состояний. Такие процессы описываются ключевыми характеристиками.
Амплитуда — максимальное отклонение системы от положения равновесия. Она определяет «размах» колебаний и может измеряться в различных единицах измерения в зависимости от типа системы (например, смещение, напряжение, сила тока). Чем больше амплитуда, тем сильнее выражены колебания.
Частота описывает количество полных циклов колебаний, совершаемых системой за определенный промежуток времени. Чаще всего частота измеряется в герцах (Гц), где 1 Гц соответствует одному циклу в секунду. Высокие частоты означают быстрые колебания, низкие — медленные. Например, если система колеблется с частотой 10 Гц, то за одну секунду совершается 10 полных колебаний.
Период — это время, необходимое для совершения одного полного цикла колебаний. Если известна частота ν, период можно вычислить по формуле:
Т = 1 / ν.
Частота колебаний ν, период Т, количество колебаний N и время t связаны друг с другом следующими формулами:
ν = 1 / Т = N / t,
Т = 1 / ν = t / N.
Угловая частота (круговая, радиальная, циклическая, вращения) — это величина, равная частоте, умноженной на 2 π. Обозначается греческой буквой омега — ω.
ω = 2 π ν.
Фаза — это величина, характеризующая текущее состояние системы относительно начала отсчёта. Она показывает, насколько далеко система находится от своего начального положения в процессе колебаний. Фазу часто измеряют в градусах или радианах. Обычно фазу обозначают греческой буквой фи — φ.
Гармонические колебания
Важной разновидностью колебательных процессов являются гармонические колебания.
Гармоническими называются колебания, в которых изменение физической величины происходит по синусоидальному закону:
x(t) = A sin ( 2πνt + φ0),
где:
x(t) — отклонение от положения равновесия;
t — время;
A — амплитуда;
ν — частота;
φ0 — начальная фаза;
( 2πνt + φ0) — фаза в момент времени t.
Характерная особенность гармонических колебаний заключается в том, что их форма не меняется со временем.

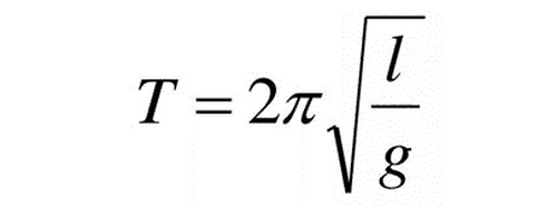
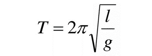
Математический маятник
Математический маятник — это идеализированная модель физического нитяного маятника. Он представляет собой точечную массу m, подвешенную на невесомой и нерастяжимой нити длиной l. Движение происходит без учета силы трения о воздух или затухания.
Когда маятник отклоняют от положения равновесия и отпускают, сила тяжести вызывает возвратное движение.
Период колебаний математического маятника не зависит от величины массы. Он определяется формулой:

где
l — длина нити;
g — ускорение свободного падения.
Движение реальных маятников хорошо описываются этой моделью при малых отклонениях от положения равновесия.
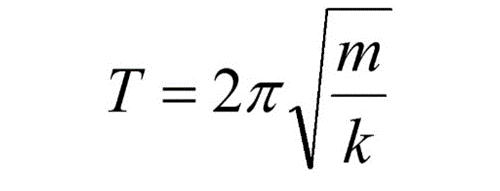
Пружинный маятник
Эта колебательная система тоже является идеализацией. Пружинный маятник состоит из точечного тела массой m, прикрепленного к пружине, обладающей жесткостью k. Считается, что отсутствует трение и жесткость пружины остается постоянной вне зависимости от деформаций.
Когда груз отклоняют от положения равновесия на величину х, со стороны пружины на него действует возвращающая сила упругости:
F = -kx.
Формула периода колебаний пружинного маятника:

Таким образом, период колебаний пружинного маятника зависит только от жесткости пружины и массы груза. При этом он не зависит ни от амплитуды, ни от ускорения свободного падения.
Смещение от положения равновесия можно найти по формуле

где
A — амплитуда;
φ0 — начальная фаза.
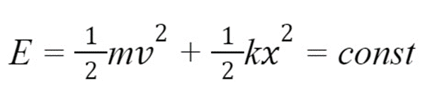
Закон сохранения энергии для гармонических колебаний

Согласно закону сохранения энергии, количество энергии в идеальной замкнутой колебательной системе остается неизменным. Но во время колебательного процесса энергия переходит из одной формы в другую.
Рассмотрим эти превращения на примере пружинного маятника. В этом случае имеются два типа энергии: потенциальная U и кинетическая K.
Согласно закону сохранения энергии, их сумма остается постоянной:
Е = U + K = const.
Подставляем выражения для кинетической и потенциальной энергии и получаем:

Рассмотрим, как меняется распределение энергии в зависимости от положения груза.
В положении равновесия отклонение равно нулю (х = 0), поэтому скорость движения v достигает своего максимального значения, а потенциальная энергия обнуляется.
E = (1/2) mv2max + 0 = const.
В крайних точках скорость груза равна нулю, а потенциальная энергия становится максимальной (при этом отклонение равно величине амплитуды, то есть х = А):
E = 0 + (1/2)kA2 = const.
При движении математического маятника тоже происходит переход потенциальной энергии в кинетическую. В крайних точках (максимальное отклонение от положения равновесия) вся энергия превращается в потенциальную. При прохождении положения равновесия, наоборот, вся энергия превращается в кинетическую.
Заключение
Понимание природы колебательных процессов имеет чрезвычайно важное значение для многих областей знания. Оно помогает решать различные практические задачи, предсказывать поведение сложных систем, разрабатывать новые технологии, совершенствовать существующие устройства.
Молодой и энергичный учитель математики, которая превращает сложные уравнения и теоремы в увлекательные головоломки. Для неё физика — это не просто цифры и формулы, а настоящий мир, полный загадок и открытий. Она верит, что каждый может полюбить физику, если найти к ней правильный подход



