Мир вокруг нас наполнен невидимыми силами. Одна из самых фундаментальных — электрическая. Мы видим, как молния пронзает небо. Чувствуем статический разряд от одежды. Но как заряженные объекты взаимодействуют друг с другом? Есть ли что-то в пространстве между ними? Физики долго искали ответ. Оказалось, что пространство не пустое, оно наполнено особой формой материи — электрическим полем или электрополем. Именно поле передает взаимодействие, действует на другие заряды и при этом обладает силой. Как эту силу измерить? Здесь нам поможет понятие напряженности, выступающей ключевой характеристикой. Ниже разберемся, что представляет данная величина и почему она важна.
Определение электрополя
Если поднести магниты близко друг к другу, мы почувствуем притяжение или отталкивание. Между магнитами нет ничего видимого, но их взаимодействие очевидно. С электрическими зарядами происходит нечто похожее. Если у нас есть заряженное тело, то вокруг него образуется особое состояние пространства. Это состояние и есть электрическое поле.
Электрополе — вид материи. Оно возникает вокруг любых электрозарядов, служа посредником. Оно передает взаимодействие от одного заряда к другому. При неподвижном заряде его поле называют электростатическим. Между зарядами одного знака (плюс и плюс или минус и минус) будет происходить отталкивание, а вот между зарядами разных знаков (плюс и минус) будет наблюдаться притяжение.
Что представляет собой напряженность
Как понять, насколько сильным является электрополе в определенной точке? Для этого вводится специальный параметр — напряженность электрополя. Она показывает его силовое действие. У нее есть как числовое значение (модуль), так и направление, то есть это векторная величина.
Как измерить силу? Для этого используют маленький пробный заряд. Представим, что у нас есть поле. Помещаем в него небольшой плюсовой заряд. Поле начнет действовать на него с определенной силой. Напряженность в этой точке определяется так: это отношение силы, действующей на пробный заряд, к величине этого заряда.
Важно! Пробный заряд должен быть очень маленьким. Почему? Чтобы его собственное поле не исказило исследуемое электрополе.
Напряженность характеризует само поле. Она не зависит от величины пробного заряда. Напряженность показывает, с какой силой поле могло бы действовать на заряд величиной в 1 Кулон, помещенный в эту точку.
На заметку. Часто путают напряженность и напряжение. Это разные физические величины. Напряженность — силовая характеристика поля. Напряжение — энергетическая. Говорить «напряжение поля» некорректно. Правильно — напряженность поля.
Уравнения и обозначение мер величин
Основываясь на определении, можно записать формулу напряженности:

Здесь F — действующая на заряд сила, а q — величина заряда, который находится в заданной точке.
Чтобы найти действующую силу, нужно воспользоваться следующей формулой:

Обратите внимание на стрелки над буквами. Они показывают, что величины векторные. Направление силы совпадает с направлением напряженности, если заряд (q) положительный. Если заряд (q) отрицательный, сила направлена противоположно напряженности.
В каких единицах измеряется характеристика? F измеряется в Ньютонах (Н), а заряд (q) — в Кулонах (Кл). Значит, единица измерения напряженности — Ньютон на Кулон (Н/Кл). В электростатике также часто используется единица Вольт на метр (В/м). Эти единицы эквивалентны: 1 Н/Кл = 1 В/м.
Принцип наложения
Что происходит, если в пространстве находится не один, а несколько зарядов? Каждый из них создает свое собственное электрическое поле. Как найти общую напряженность поля в какой-то точке, на которую влияют все эти заряды?
Здесь вступает в силу принцип суперпозиции, или принцип наложения полей. Этот принцип гласит: напряженность результирующего электрического поля в любой точке пространства, создаваемого системой зарядов, равна векторной сумме напряженностей полей, создаваемых каждым зарядом в отдельности в этой же точке.
Проще говоря, если заряд q1 создает в точке поле E1, заряд q2 — поле E2 и так далее до заряда qn, создающего поле En, то общая напряженность E в этой точке будет:

Складывать векторы нужно по правилам сложения векторов. Например, по правилу параллелограмма или треугольника или просто складывая их проекции на оси координат. Этот принцип очень важен. Он позволяет рассчитать поле любой сложной системы зарядов, разбивая ее на простые части.
Принцип суперпозиции действует для большинства ситуаций. Есть редкие исключения:
- когда заряды находятся очень-очень близко друг к другу (на атомных расстояниях);
- в сверхсильных электрических полях, но эти случаи выходят за рамки стандартной физики.
Напряженность точечного заряда
Самый простой источник электрополя — точечный заряд. Что такое точечный заряд? Это заряженное тело, размеры которого пренебрежимо малы по сравнению с расстоянием до точки, где мы измеряем поле. Например, электрон или протон часто можно считать точечными зарядами.
Напряженность поля, создаваемого точечным зарядом, зависит от двух вещей:
- Величины самого этого заряда (его модуля Q).
- Расстояния от заряда до точки наблюдения.
Логично, что чем больше заряд, тем сильнее создаваемое им поле. Чем дальше от заряда, тем поле слабее. Но как именно выражается эта зависимость? Чтобы понять это, нужно вспомнить закон, описывающий взаимодействие между зарядами.
Закон Кулона
В конце XVIII века французский физик Шарль Огюстен Кулон экспериментально установил закон, описывающий силу взаимодействия между двумя точечными зарядами. Этот закон стал фундаментом электростатики.
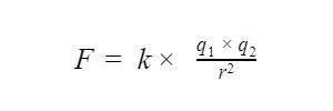
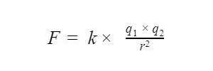
Закон Кулона гласит: модуль силы взаимодействия между двумя неподвижными точечными зарядами в вакууме прямо пропорционален произведению модулей этих зарядов и обратно пропорционален квадрату расстояния между ними. Эта сила действует вдоль прямой, соединяющей заряды.
Математически это выглядит так:

, где:
- F — модуль силы взаимодействия;
- q1 и q2 — модули точечных зарядов;
- r — расстояние между зарядами;
- k — коэффициент пропорциональности.
k — фундаментальная электрическая постоянная. Она показывает, с какой силой взаимодействуют два заряда по 1 Кл на расстоянии в один метр. Определяется так:

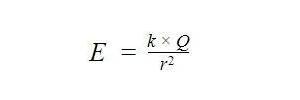
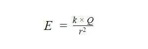
Формула напряженности электрополя, которое создается точечным зарядом на расстоянии от него, в таком случае будет выглядеть так:

Направление вектора напряженности поля точечного заряда направлено:
- от заряда — если (Q > 0) (радиально от положительного заряда);
- к заряду — если (Q < 0) (радиально к отрицательному заряду).
На напряженность электрополя точечного заряда влияет величина заряда-источника, а также расстояние до точки.
Силовые линии поля
Электрическое поле невидимо. Но чтобы лучше понять его свойства и структуру, физики придумали графический способ его изображения. Используются линии напряженности или силовые линии электрополя.
Линии напряженности — это воображаемые линии. Они проводятся так, чтобы касательная к линии в каждой точке совпадала с направлением вектора напряженности в этой точке.

У этих линий есть четкие правила построения:
- Начинаются на положительных зарядах (или уходят в бесконечность при изоляции заряда).
- Заканчиваются на минусовых зарядах (или приходят из бесконечности при изоляции заряда).
- Никогда не пересекаются. В каждой точке может быть только одно направление напряженности.
- Чем плотнее линии друг к другу, тем больше модуль напряженности поля в этом месте. И наоборот, где линии реже, там поле слабее.
Например:
- поле одиночного положительного заряда — линии расходятся от него радиально во все стороны;
- поле одиночного отрицательного заряда — линии сходятся к нему радиально со всех сторон;
- поле между двумя разноименными зарядами — линии идут от положительного к отрицательному;
- поле между двумя параллельными разноименно заряженными пластинами (вдали от краев) — линии параллельны и расположены равномерно (такое поле называют однородным, в однородном поле напряженность одинакова по модулю и направлению во всех точках).
Графические изображения помогают наглядно представить, как распределено электрическое поле в пространстве.
Заключение
Итак, мы рассмотрели, что такое электрополе, принципы определения его силовой характеристики, то есть напряженности, по каким формулам она рассчитывается, как складываются электрополя от нескольких зарядов и как поле можно изобразить графически. Понимание этих основ открывает дверь в изучение более сложных электромагнитных явлений.

