Область определения функции — это одно из ключевых математических понятий. Оно используется не только в математическом анализе, но и при решении множества прикладных задач.
Область определение функции — понятие
Напомним определение функции.
Функция — это правило, устанавливающее соответствие между элементами двух множеств. При этом каждому элементу одного множества ставится в соответствие один элемент другого множества.
Если у нас есть два множества Х и Y, и каждому элементу множества Х поставлен в соответствие один элемент из множества Y, то говорят, что на множестве Х задана функция. При этом используется краткая запись y = f(x), а также названия:
- х — независимая переменная или аргумент;
- y — зависимая переменная или функция.
Теперь сформулируем понятия области определения.
Область определения функции — это множество всех значений ее аргумента.
Сформулируем более развернутое определение. Пусть есть два множества Х и Y, и каждому элементу х ∈Х поставлен в соответствие один элемент y ∈Y, который обозначается как f(x). Тогда множество Х называется областью определения функции f, а Y — множеством значений.
Область определения функции y = f(x) можно обозначать как D(f) либо D(y).
Область определения есть у всех функций без исключения.
Области определения элементарных функций
К основным элементарным функциям относятся:
- степенные функции y = kxn, где n — некоторое вещественное число, k — ненулевое число;
- показательные функции y = ах, где а — неотрицательное число;
- логарифмические функции y = logax, где а — неотрицательное число, неравное единице;
- тригонометрические функции y = sin(x), y = cos(x), y = tg(x), y = ctg(x).
Функции, которые можно получить из основных элементарных функций при помощи конечного числа арифметических действий, называются элементарными. Проанализируем их D(y).
Область определения постоянной функции
Постоянные функции имеют вид y = с, где с — некоторое действительное число (константа).
Область определения постоянной функции — множество всех действительных чисел: D(y) = R. Также можно записать D(y) = (-∞; +∞).
Область определения линейной функции
Линейная функция имеет вид y = kx + b, где k (угловой коэффициент) и b (свободный коэффициент) — некоторые вещественные числа.
Область определения линейной функции такая же, как и у постоянной функции: D(y) = R или D(y) = (-∞; +∞).
Область определения степенной функции
Строго говоря, степенной является функция вида y = kxn, где n может быть любым вещественным числом. Но обычно под степенной подразумевают функцию, у которой показатель степени выражен целым числом.
В этом случае D(y) зависит от знака n.
Если n ≥ 0, то D(y) включает в себя все действительные числа D(y) = (-∞; +∞).
Если n — отрицательное число, то D(y) будет состоять из любых действительных чисел, отличных от нуля D(y) = (-∞; 0) U (0; +∞). Нуль приходится исключить из D(y), так как на 0 делить нельзя.
Область определения корневой функции
Под корневой функцией понимают функцию вида:

где n — целое положительное число.
У корневых функций вид D(y) зависит от четности числа n.
Если n — четное, то D(y) будет множество неотрицательных действительных чисел D(y) = [0; +∞).
Если n — нечетное, то областью определения будет множество всех действительных чисел D(y) = (-∞; +∞).
Область определения показательной функции
Значение показательной функции y = ах можно вычислить при любом значении аргумента, поэтому ее область определения — все множество действительных чисел D(y) = (-∞; +∞).
Область определения логарифмической функции
Логарифмическая функция имеет вид y = logax. То есть значением y является показатель степени, в которую нужно возвести число а, чтобы получить х. Так как по определению вещественный логарифм logab имеет смысл только при а>0, a ≠ 1, b >0, то очевидно, что областью определения логарифмической функции будут положительные действительные числа D(y) = (0; +∞).
Область определения тригонометрических функций
Области определения основных тригонометрических функций следующие:
1. У функции синуса y = sin(x) и косинуса y = cos(x) область определения — все множество действительных чисел D(y) = (-∞; +∞).
2. У функции тангенса y = tg(x) область определения — все действительные числа, кроме тех, в которых cos(x) = 0, то есть все действительные числа, для которых справедливо x ≠ π/2+ πk, k ∈ z (целое число).
3. У котангенса y = ctg(x) область определения — все действительные числа, кроме тех, в которых sin(x) = 0, то есть все действительные числа, для которых справедливо x ≠ πk, k ∈ z.
Вывод
Знание областей определения элементарных функций необходимо для понимания поведения функции и ее свойств. Также оно помогает не допускать ошибок при решении уравнений и неравенств. Кроме того, умение находить область определения функции необходимо для решения практических задач, так как многие технические процессы описываются математическими моделями.
Вопросы и ответы
Как найти область определения функции?
Чтобы найти область определения произвольной функции, нужно выполнить следующую последовательность действий:
- уточнить, из каких элементарных функций состоит данная функция;
- для каждой элементарной функции, входящей в ее состав, найти области определения;
- найти пересечение областей определения.
Для решения подобных задач нужно хорошо владеть методом интервалов и уметь находить пересечения множеств.
Рассмотрим несколько характерных примеров.

Степень корня четная, следовательно, подкоренное выражение должно быть неотрицательным. Чтобы найти значения аргумента, удовлетворяющие этому условию, решаем методом интервалов неравенство:
x2 – 4 ≥ 0,
раскладываем на множители:
(х – 2) (х + 2) ≥ 0.
Отмечаем точки х = 2 и х = -2 на числовой прямой, анализируем знаки произведения (х – 2)(х + 2) на числовых интервалах.

Область определения данной функции будет D(y) = (-∞; -2] U [2; +∞).

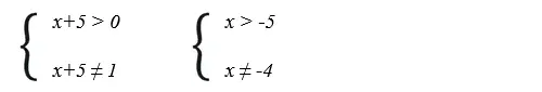
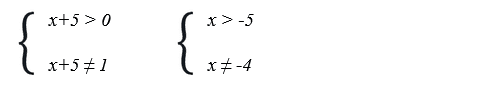
У этой функции D(y) совпадает с областью определения функции log3 (x+5), из которой нужно выбросить те значения аргумента, при которых логарифм обращается в ноль (так как на 0 делить нельзя).
Получается система неравенств:

Получаем D(y) = (-5; -4) U (-4; +∞).
№3 y = sin5x + tg10x
Очевидно, что D(sin5x) = (-∞; +∞). Но чтобы найти область определения D(10x), придется решить неравенство:

Делим обе части на 10:

То есть из множества вещественных чисел нужно выбросить все такие числа. Это можно записать как:

№4 y =|x|
Известно, что подкоренное выражение для квадратного корня должно быть больше или равно 0. Но значение модуля для любого числа будет неотрицательным. Следовательно, D(y) = (-∞; +∞).
Замечание. Корни четной степени требуют аккуратности, так как при малейшей невнимательности легко можно сделать промах. Например, у функций

области определения будут разными. Нельзя просто извлечь корень и написать:

Значения х2 неотрицательные при любых х, поэтому D(g) = (-∞; +∞), тогда как D(y) = [0; +∞).
Вот еще один коварный пример. Если нужно найти

то выполнять сокращение нельзя. Казалось бы

но для y = 1 область определения D(y) = (-∞; +∞), а это значит, что 0 ∈D(y). Но если подставить

то получается запрещенная операция. Поэтому сокращать переменные в данном случае нельзя, а область определения будет D(y) = (-∞; 0) U (0; +∞).
Как найти область определения рациональной функции?
Для рациональной функции вида:

— это все числа из (-∞; +∞), кроме тех, где Q(x) обнуляется. Поэтому сначала решают Q(x) = 0, а затем исключают полученные значения из (-∞; +∞).
Пример: найти области определения функции

Найдем значения аргумента, обращающие знаменатель в 0.

Это значение нужно выбросить из множества действительных чисел.
Ответ: D(y) = (-∞; -2) U (-2; +∞).
Как правильно обозначать область определения функции?
Область определения обозначается большой латинской буквой D, за которой в круглых скобках указывается функция.
Значение области определения записывается в виде интервалов либо неравенств.

