Если растянуть стальную пружину, а потом отпустить, то она немедленно восстановит свою форму. То же самое произойдет, если пружину сжать, а потом отпустить. Восстановление формы пружины происходит за счет силы упругости. Она появляется в ответ на возникновение деформации. Эта сила имеет электромагнитную природу и непосредственно связана с взаимодействием молекул деформируемого тела друг с другом.
Сила: что это за величина
К сожалению, в физике нет четкого и однозначного определения силы. Под силой понимается некое внешнее воздействие, вызывающее изменения в движении тела или изменяющее его размеры. Таким образом, сила служит мерой взаимодействия тел друг с другом.
Сила — величина векторная. Это значит, что она характеризуется числовым значением, направлением и точкой приложения. Единицей измерения любой силы в системе СИ служит Ньютон. Сила, равная 1 Н, изменяет за 1 секунду скорость тела, имеющего массу 1 кг, на 1 м/с.
Если к телу приложено сразу несколько сил, то их можно заменить одной равнодействующей, которая определяется по правилу сложения векторов.
Например, если тело, обладающее некоторой массой, висит на растянутой пружине, то на него действует сила земного тяготения и сила упругости пружины. Эти силы одинаковы по модулю и направлены противоположно. Поэтому равнодействующая равна нулю, и тело покоится.
Деформация
Под деформацией понимается изменение формы или размеров тела, вызванное воздействием внешних сил либо таких факторов, как температура и влажность.
В зависимости от вида смещения частей тела относительно друг друга деформация подразделяется на следующие типы:
- растяжение;
- сжатие;
- сдвиг;
- кручение;
- изгиб
- срез.
Деформации бывают разных видов: растяжения, сжатия, сдвига, изгиба, кручения. Все перечисленные виды деформации возможны в твердых телах. В жидкостях и газах возможны только деформации объемного сжатия и растяжения, т. к. эти среды не обладают упругостью формы, а только объема (как известно, жидкость принимает форму сосуда, в котором находится, а газ занимает весь предоставленный ему объем).
Деформация называется упругой, если она возникает и исчезает одновременно с внешним воздействием.
Деформация, которая не исчезает после прекращения внешнего воздействия, называется пластической.
Если, например, пружину несколько растянуть, а затем отпустить, то она снова примет свою первоначальную форму. Но ту же пружину можно растянуть настолько, что после того как ее отпустят, она так и останется растянутой.
При деформации тел возникают силы упругости, которые используются, например, в динамометрах. Пластические деформации применяют при лепке из пластилина и глины, при обработке металлов — ковке, штамповке.
Сила упругости: закон Гука
Упругая сила возвращает тело к его первоначальной форме. Эта сила возникает в ответ на деформацию тела, вызванную другими силами.
Упругая сила обусловлена сложным взаимодействием между молекулами деформируемого тела. Но в конечном итоге она представляет собой следствие третьего закона Ньютона, согласно которому каждое действие вызывает равное и противоположно направленное противодействие.
Таким образом, упругая сила — это равная по величине и противоположно направленная реакция на внешнюю силу, вызывающую деформацию. Если изменение формы настолько мало, что его невозможно заметить, то силу упругости называют силой реакции опоры.
Изучением процессов, возникающих при деформации твердых тел, занимается теория упругости. Ее фундаментальным законом является закон Гука, который был открыт в 1660 г. 25-летним английским ученым Робертом Гуком.
Закон гласит: сила упругости, возникающая при растяжении/сжатии упругого тела, прямо пропорциональна абсолютному значению изменения длины этого тела.
В виде математической формулы этот закон записывается следующим образом:
Fупр = k Δx,
где k — жесткость тела, Δx — абсолютное значение удлинения.
Каждое тело характеризуется своей жесткостью. Например, жесткость пружины зависит от материала, количества витков, геометрических размеров пружины.

При решении школьных и многих практических задач пружины считаются идеальными, то есть невесомыми, неразрушимыми, бесконечно эластичными, не подверженными трению. Их коэффициент упругости не зависит от величины удлинения или сжатия.
Пружиной называют объект, способный с помощью деформации, вызванной внешними силами, накапливать и сохранять упругую потенциальную энергию, а после прекращения их воздействия восстанавливаться до прежнего состояния. Реально существующие пружины абсолютно точно восстановить свою прежнюю форму не в состоянии т.к. при внешнем воздействии в той или иной степени нарушается структура их материала, в результате чего возникают так называемые пластичные деформации. Чем они меньше, тем более качественным считается изделие.
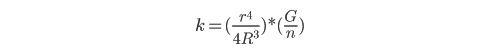
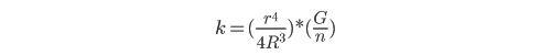
Зная материал и диаметр проволоки, форму её сечения, длину и диаметр пружины, как единого целого, можно с очень высокой достоверностью судить, насколько пружина может сопротивляться попыткам деформировать себя.
Окончательная формула для жёсткости цилиндрической пружины такова:

Буквой R у нас обозначен радиус цилиндра пружины, n – количество витков проволоки, r—её радиус, G – коэффициент, индивидуальный для материала проволоки.
Чтобы по данной формуле сделать расчёт жёсткости, достаточно просто подставить вместо букв, обозначающих величины, их числовые значения.
Рассмотрим применение закона Гука при решении простейшей задачи (подобные задачи часто попадаются на контрольных и экзаменах).
Пример №1
К грузу массой m = 350 г привязана упругая нить, обладающая жесткостью k = 0,35 кН/м. Найти удлинение нити, если с ее помощью груз будут поднимать без ускорения (равномерно). Значение g принять равным 10 м/с2.
Решение
Когда груз повиснет на нити, он будет действовать на нее с силой, равной его весу, то есть mg. Значит, мы можем записать закон Гука в виде:
mg = k Δx
Отсюда выражаем удлинение:
Δx = mg / k
Производим вычисления, не забывая перевести граммы в килограммы. Также обращаем внимание на приставку «кило» в значении жесткости. Подставляем числа в формулу и получаем:
Δx = 350 • 10-3• 10 / (0,35 • 103) = 0,01 м = 1 см.
Ответ: Δx = 1 см.
Параллельное и последовательное соединение пружин
Каждая пружина характеризуется своим значением коэффициента жесткости. При соединении нескольких пружин в каждой из них возникает свой отклик на внешнюю деформирующую силу, но вся система реагирует на внешнее воздействие как некое целое. Эта система обладает своей жесткостью, которая зависит от жесткости составляющих ее пружин и от способа их соединения.
Последовательное соединение системы пружин
Когда растягивающая/сжимающая сила F прикладывается к последовательно соединенным пружинам, то в каждой из них возникает ответная сила, равная по модулю силе F и направленная противоположно ей. При этом каждая i-тая пружина будет удлиняться на xi = F / ki.
Общая деформация x системы из n последовательно соединенных пружин равна сумме деформации каждой из них:
x = F / k = F / k1 + F / k2 + … + F / kn,
где k — жесткость всей системы.
Итак, имеем:
F / k = F / k1 + F / k2 + … + F / kn.
Выполняем сокращение на F и получаем:
1 / k = 1 / k1 + 1 / k2 + … + 1 / kn.
По этой формуле можно рассчитать жесткость системы из любого количества соединенных последовательно пружин.
Рассчитаем, например, жесткость системы из двух последовательно соединенных одинаковых пружин, каждая из которых обладает жесткостью k1.
Подставляем значения в формулу и складываем дроби:
1 / k = 1 / k1 +1 / k1= 2 / k1.
k = k1 / 2.
То есть жесткость системы уменьшилась.
Параллельное соединение системы пружин
Когда пружины соединены параллельно, деформирующая сила F растягивает каждую из них на одинаковую длину. При этом в каждой пружине возникает сила упругости, величина которой соответствует жесткости этой пружины. Суммарная ответная сила всех пружин системы равна по модулю приложенной внешней силе:
F = F1 + F2 + … + Fn.
Если мы обозначим за k жесткость, эквивалентную жесткости системы параллельно соединенных пружин, и за х — удлинение, вызываемое силой F, то получим следующее:
kx = k1x + k2x + …+ knx.
Выносим х за скобки, сокращаем и получаем эквивалентную жесткость:
k = k1 + k2 + …+ kn.
Пример №2
Пять пружин соединены так, как показано на рисунке. Какова величина жесткости этой системы k, если жесткости каждой из составляющих ее пружин имеют следующие значения: k1 = 0,34 кН/м;. k2 = 0,3 кН/м; k3 = 0,36 кН/м; k4 = 0,37 кН/м; k5 = 0,63 кН/м.
Решение
Жесткость блока из трех параллельно соединенных пружин равна k1 + k2 + k3. Жесткость блока из двух пружин равна k4 + k5. Эти два блока соединены последовательно. Поэтому для искомой жесткости можем записать:
1/k = 1 / (k1 + k2 + k3) + 1 / (k4 + k5).
Подставляем числовые значения:
1/k = 1 / (0,34 + 0,3 + 0,36) + 1 / (0,37 + 0,63) = 2,
k =0,5 кН/м.
График зависимости силы упругости от жесткости
Закон Гука утверждает, что сила упругости и удлинение связаны линейной зависимостью. Строго говоря, это справедливо только для малых деформаций. Но если мы видим линейный график, значит, деформация упругая, и мы можем смело пользоваться законом Гука для решения задачи.
Рассмотрим несколько типовых экзаменационных задач.
Пример №3
Дан график зависимости силы упругости от изменения длины. Найти значение коэффициента упругости.
Решение
Из закона Гука нам известно, что
k = F / х.
Чтобы вычислить значение k с помощью данного графика, выбираем любую точку. На графике есть две точки, координаты которых можно точно определить. Это точки с координатами (2; 2) и (4; 4). Обращаем внимание на размерность: силе в 2Н соответствует удлинение 2 см — его нужно перевести в метры и подставить в формулу не 2, а 0,02.
Выполняем вычисления:
k =2 / 0,02 = 100 Н/м.
Ответ: k = 100 Н/м.
Пример №4
На графике показаны зависимости между силой и удлинением для двух пружин. У какой из пружин жесткость больше: у пружины 1 или у пружины 2?
Решение
Коэффициент жесткости рассчитывается по формуле:
k = F / х.
Зафиксируем какое-нибудь значение силы и сравним удлинения пружин. Мы видим, что удлинение пружины 2 больше, чем у пружины 1. То есть:
x2 > x1.
Отсюда следует, что
F / х2 < F / х1 или F / х1 > F / х2.
Следовательно, k1 > k2.
Ответ: жесткость пружины 1 больше жесткости пружины 2.
Заключение
Упругие силы возникают в ответ на деформацию тел, вызванную внешними факторами. Одним из ключевых законов, количественно описывающих упругие силы, является закон Гука. Это один из важнейших законов физики и фундаментальный закон теории упругости.
Молодой и энергичный учитель математики, которая превращает сложные уравнения и теоремы в увлекательные головоломки. Для неё физика — это не просто цифры и формулы, а настоящий мир, полный загадок и открытий. Она верит, что каждый может полюбить физику, если найти к ней правильный подход



